Lompat ke konten Lompat ke sidebar Lompat ke footer
close

Cazul Infinit Minus Infinit

Cazul Infinit Minus Infinit

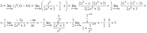
Pentru functia data se obtine m x ∞ fx() x lim 3 n x ∞ lim ()fx() mx 6 deci functia f(x) are ca asimptota oblica la ramura spre plus infinit dreapta yx() 3x 6 rezultat analog pentru ra mura spre minus infinit. Daca tii cont ca functiile trigonometrice nu sunt definite la infinit, adica nici plus infinit nici minus infinit nu sunt incluse in domeniul lor de definitie, atunci raspunsul este foarte simplu.

Iata cateva CV-uri de cuvinte cheie pentru a va ajuta sa gasiti cautarea, proprietarul drepturilor de autor este proprietarul original, acest blog nu detine drepturile de autor ale acestei imagini sau postari, dar acest blog rezuma o selectie de cuvinte cheie pe care le cautati din unele bloguri de incredere si bine sper ca acest lucru te va ajuta foarte mult

Fortezi factorul cel mai barosan in afara: Ai 8 cazuri de nedeterminare ( nu doar 4 )! De gunty » vin noi 29, 2013 6:32 pm.

C4 Lpo Operatori Cuprins
vizitati articolul complet aici : https://genderi.org/c4--lpo-operatori-cuprins.html
In realitate nu exista punct, linie, numar. Pentru functia data se obtine m x ∞ fx() x lim 3 n x ∞ lim ()fx() mx 6 deci functia f(x) are ca asimptota oblica la ramura spre plus infinit dreapta yx() 3x 6 rezultat analog pentru ra mura spre minus infinit. Foursquare utilizza i cookie per fornire un'esperienza ottimale, personalizzare gli annunci visualizzati e aiutare le agenzie pubblicitarie a valutare l'efficacia delle loro campagne.

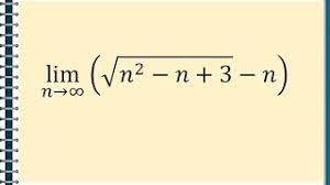
La limita de mai sus suntem in cazul de nedeterminare infinit minus infinit.

Infinit/infinit nedeterminări ale ridicării la o putere modificare ridicări la o putere a lui zero modificare ˆin acest caz not ˘am r −∞ ( ) ( ) definit¸ia 4.7 fie : Orice infinit e caz exceptional.

R →r ofunct¸ie dat ˘a, integrabil˘a riemann pe orice interval compact cu.numimintegrala improprie de la −∞la ∞din funct¸ia limita lim →−∞ →∞ r ( ) dac˘a aceast ˘a limit ˘aexist ˘a. In realitate nu exista punct, linie, numar. La limita de mai sus suntem in cazul de nedeterminare infinit minus infinit.

Https Analizamatematicampt Files Wordpress Com 2010 09 Regula Lui Lhospital Pdf
vizitati articolul complet aici : 2
In matematica nu e nimic fizic. Nu te mai lua după toţi neştiutorii :( aceste cazuri sunt : (ideea cestui articol îi aparține fiului meu și se vrea o continuare meditația precedentă.

Si cand le impartim obtinem numere mari sau numere mici, adica zero sau infinituri.

Ai 8 cazuri de nedeterminare ( nu doar 4 )! De gunty » vin noi 29, 2013 6:32 pm. Odată apărută, miopia nu se poate vindeca spontan, în sensul că dioptriile în cazul miopiei, corecția optică se realizează pe baza lentilelor sferice divergente, cu minus.

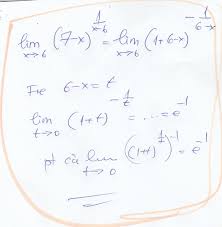
─ poate că ar trebui să ne rebotezăm după numele băuturii pe care o bem!, exclamă el, înainte de a mă întreba ce beau. Lim ln ( x) = ∞ x → ∞. Cazul opus, logaritmul natural al minusului infinitului este nedefinit pentru numerele reale, deoarece funcția logaritmului natural este nedefinită pentru numerele negative:

Ințelegi Matematica Mquest Ro
vizitati articolul complet aici : https://mquest.ro/home/learnunit?id=199
Adevarat ca unii au remarcat si acest aspect. B) la funcii exponeniale se d factor comun forat puterea cu cea mai mare baz i se ine cont c x limita la + a unei puteri cu baza subunitar este 0. Lim ln ( x) = ∞ x → ∞.

E la minus infinit este egal cu infinit sau minus infinit.

Ma indoiesc ca si materia/energia ar fi infinita. X se apropie de minus infinit. La limita de mai sus suntem in cazul de nedeterminare infinit minus infinit.

Posting Komentar untuk "Cazul Infinit Minus Infinit"